中宏
…
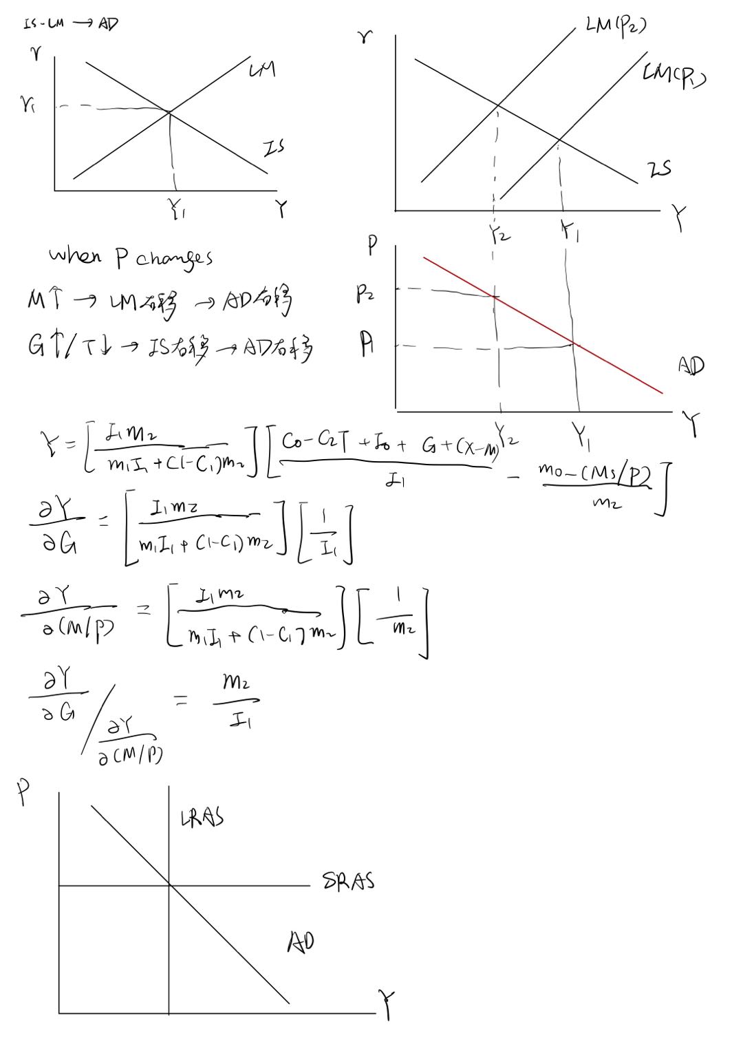
中级宏观










如果采用数量型货币政策,固定货币供应量,利率是根据货币市场需求决定,则LM是向上倾斜的曲线;而采用价格型货币政策,直接控制利率,则LM就是条水平线。
Assumptions required for the Ricardian Equivalence result to hold.
- Uniform changes in taxes across all consumers
- Government’s present value budget constraint is satisfied.
- Lump sum taxes
- Perfect Capital Market (no borrowing constraint)
- Myopia